القيمة الحالية للنقود مع الأمثلة لدفعة واحدة ودفعات متساوية ومقدمة
القيمة الزمنية للنقود تقوم على الحقيقة الثابتة بأن قيمة الجنيه الذى يتم الحصول عليه الان نزيد عن قيمة الجنيه الذى يتم الحصول عليه فى المستقبل نتيجة للتضخم الذى يوجد فى الاقتصاد فكلما زاد معدل التضخم فى الاقتصاد كلما قلت القيمة المستقبلية للنقود عن القيمة الحالية لها.
وتعد القيمة المستقبلية والقيمة الحالية وجهى عملة واحدة تعتمد علي القيمة الزمنية للنقود (Time Value of Money). وبالرغم من ان استخدام القيمة المستقبلية او القيمة الحالية سوف يؤدى الى اتخاذ نفس القرار لاختيار البديل الاستثماري أو التمويلي المناسب الا ان طرق حساب القيمة المستقبلية تختلف عن طرق حساب القيمة الحالية.
ان حساب القيمة المستقبلية يعتمد على ايجاد القيمة المتراكمة (Compounding Process) فى نهاية مدة زمنية محددة باستخدام معدل فائدة محددة لمبلغ محدد من المال يتم دفعه مرة واحدة فى بداية المدة (Single Amount) او يتم دفعة خلال الفترة الزمنية على دفعات متساوية (Annuity) او دفعات غير متساوية (Mixed Stream of Cash Flow) ويلاحظ ان عند حساب القيمة المستقبلية فإنه يتم استخدام معدلات الفائدة المركبة (Compound Interest Rate) وليس معدلات الفائدة البسيطة (Simple Interest Rate) ، بمعنى انه يتم الحصول على فائدة على اصل المبلغ بالاضافة الى فائدة على الفائدة التى تحققت فى نهاية كل مدة٠
اما فى حالة حساب القيمة الحالية فانه يتم خصم (Discounting Process) كل التدفقات النقدية خلال فترة مستقبلية سواء كانت هذه التدفقات فى شكل دفعة واحدة سوف يتم الحصول علبها فى نهاية المدة او على شكل دفعات متساوية او غير متساوية يتم الحصول عليها المدى الزمنى وذلك باستخدام معدل فائدة محدد وهو ما يعرف بمعدل الخصم او ما يعرف رأس المال وذلك وصولا الى تحديد قيمة هذه التدفقات النقدية المستقبلية الآن فى الوقت الحاضر (وهو ما بعرف بالوقت صفر).
![]() |
| إيجاد القيمة المستقبلية والقيمة الحالية |
وهنا تجدر الاشارة الى انه بالرغم من ان القيمة المستقبلية والقيمة الحالية يعدا وجهى عملة واحدة عند اتخاذ القرارات المالية الا ان المديرين الماليين عادة ما يجب ان يتحذوا قراراتهم الاستثمارية فى ظل القيمة الحالية وليس القيمة المستقبلية لان القيمة الحالية تحت سيطرة المدير المالى بالكامل.
ولقد تناولنا فى مقالات منفصلة أنصح بشدة بالإطلاع عليها لأهميتها الشديدة
القيمة الزمنية للنقود – القيمة الحالية والقيمة المستقبلية
القيمة المستقبلية للنقود مع الأمثلة لدفعة واحدة ودفعات متساوية ومُقدمة
مفهوم القيمة الحالية ( Present Value ):
من المفيد عند اتخاذ القرارات التمويلية أو الأستثمارية تحديد قيمة الأموال في الوقت الحالي لكل التدفقات النقدية المستقبلية. وعند حساب القيمة الحالية فإنه يتم خصم التدفقات النقدية المستقبلية المتوقعة باستخدام معدل الخصم المناسب حسب طبيعة المشروع الذي يتم تقييم عوائده. قد يكون هذا المعدل هو سعر الفائدة السائد في السوق أو معدل الفائدة المطلوب عند تقييم البدائل الاستثمارية في شكل اسهم وسندات أو قد يكون تكلفة رأس المال عند تقييم مشروع استثماري.
إيجاد القيمة الحالية لدفعة واحدة يتم الحصول عليها بعد فترة زمنية (N ) بالمعادلات:يعد حساب القيمة الحالية لدفعة واحدة (Present Value of a Single Amount) مشابه لطريقة حساب القيمة المستقبلية لدفعة واحدة. ويعتمد حساب القيمة الحالية علي:
– أصل المبلغ الذي سوف يتم الحصول علية بعد مدة محددة.
– المدة التي في نهايتها سوف يتم الحصول علي المبلغ .
– معدل الخصم.
مثال :
ماهي القيمة الحالية لمبلغ 250000 جنيه من المتوقع الحصول عليه بعد سنة إذا كان معدل الخصم يبلغ 8 % سنويا ؟
يمكن حساب القيمة الحالية باستخدام المعادلة كما يلى:
جداول القيمة الزمنية للنقود
ان ايجاد القيمة المستقبلية او الحالية لدفعة واحدة باستخدام المعادلات التى تم تناولها فى المقالة يستهلك الكثير من الوقت خصوصأ اذا كانت الفترات الزمنية التى يتم حساب القيمة المستقبلية او الحالية فى نهايتها كبيرة كأن تكون 25 سنة او 30 سنه. لذا يفضل الإعتماد على الجداول المالية عند حساب القيمة المستقبلية وذلك عن طريق ايجاد معامل القيمة المستقبلية ( “Future Value Interest Factor “FVIFIR,N) لمبلغ قيمته جنيه واحد يتم استثماره لعدد (N) من الفترات وبمعدل فائدة (IR) من جدول معاملات القيمة المستقبلية الخاص بذلك.
وأيضاً الإعتماد على الجداول المالية عند حساب القيمة الحالية وذلك عن طريق ايجاد معامل القيمة الحالية ( “Present Value Interest Factor “PVIFIR,N) لمبلغ قيمته جنيه واحد يتم استثماره لعدد (N) من الفترات وبمعدل فائدة (IR) من جدول معاملات القيمة الحالية الخاص بذلك.
مثال بالتطبيق على القيمة المستقبلية :
يتم إيجاد التقاطع بين معدل الفائدة (IR) وعدد الفترات (N). وبالتالى يمكن اعادة كتابة المعادلة على النحو التالى.
FVN = PVN * FVIFIR,N
عن طريق هذه المعادلة يمكن ايجاد القيمة المستقبلية فى نهاية الفترة (N) للقيمة الحالية (PV) بإستخدام معدل الفائدة (IR)
كما يمكن حل المثال الذى تناولناه فى مقالة القيمة المستقبلية للنقود باستخدام جدول القيم المستقبلية (دفعة واحدة) على النحو التالى:
وللتذكير كان نص المثال
بفرض ان شركة أسود البيزنس لديها فائض نقدى يقدر ب 10000 جنيه وليس لدى الشركة اى مجال لاستثمار هذا الفائض غير ايداعه فى حساب استثمارى بالبنك بمعدل فائدة 10 % سنويا.
بنهاية السنة الاولى فان قيمة المبلغ سوف تصبح 11000 جنيه، 10000 جنيه اصل المبلغ بالاضافة إلي فوائد = 10000 × 10 % = 1000 جنيه ويمكن حساب القيمة المستقبلية فى نهاية السنة الاولى بإستخدام الجداول المالية
FV1 = PV0 * FVIF10%,1 = 10,000 * 1.1 = 11,000 LE
FV2 = PV0 * FVIF10%,2 = 10,000 * 1.21 = 12,100 LE
FV3 = PV0 * FVIF10%,3 = 10,000 * 1.331 = 13,310 LE
وللعلم : تسطيع بهذة الطريقة حل معادلات القيمة الحالية ومعادلات الدفعات المتساوية والمقدمة للقيمة الحالية والمستقبلية بإستخدام جداول القيمة الزمنية للنقود.
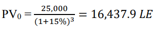
مثال على القيمة الحالية للنقود
ما هو اقصي مبلغ يمكنك أن تقترضه الآن لمدة ثلاث سنوات بضمان شهادات إدخار قيمتها الأسمية 25000 جنيه وتستحق السداد بعد 3 سنوات من الآن إذا كان معدل الفائدة علي القرض يبلغ %15؟
يمكن حساب القيمة الحالية (PV0 ) باستخدام جداول القيمة الحالية لدفعة واحدة كما
يلى:
PV0 = FVN * PVIFIR,N
PV0 = 25,000 * PVIF15%,3 = 25,000 * 0.6575 = 16,437.5 LE
تحميل ملف جداول القيمة الزمنية للنقود – جوجل درايف
هدية موقع أسود البيزنس
من الممكن ان تقوم بتحميل ملف أكسيل نوفره لك يقوم بعملية حساب كل عمليات القيمة المستقبلية والحالية ، فكل ما عليك هو إدخال القيم وستظهر النتيجة امامك
تحميل ملف اكسيل لحساب كل عمليات القيمة الزمنية للنقود من جوجل درايف
ملحوظة : الملف باللغة الإنجليزية ولم أقم بترجمته لأن الكلام المستخدمة كلها أساسية لأى شخص يتعامل فى الإدارة المالية مثل
Interest ، Future Value ، Present Value
ولكن لو واجهت صعوبة ممكن ان تقوم بالترجمة من اى مترجم مثل ترجمة جوجل ، واى رموز لا تفهما سوف تجدها مشروحة هنا فى هذة المقالات.
من الممكن ان تتسأل ما فائدة هذة المقالة مع هذا الملف ؟
ان هذا الملف سوف يسهل عليك عملية حساب القيمة الحالية والمستقبلية للنقود ولكن نهدف من هذة المقالة ان تتعلم وتفهم عملية حساب القيمة الحالية والمستقبلية وان تقوم بها بنفسك.
ولذلك أدعوك لتكملة قراءة هذة المقالة والمقالات المرتبطة بها التى تم تعليمها باللون الأزرق لمزيد من الفهم لك ولأهمية ان تكون على دراية بالخطوات المتبعة وخصوصاً إذا كنت تعمل فى الإدارة المالية او تريد ان تعمل في الإدارة المالية فى المستقبل.
مثال :
ما هو اقصي مبلغ يمكنك أن تقترضه الآن لمدة ثلاث سنوات بضمان شهادات إدخار قيمتها
الأسمية 25000 جنيه وتستحق السداد بعد 3 سنوات من الآن إذا كان معدل الفائدة علي
القرض يبلغ %15؟
مثال
بفرض أنك ترغب في شراء سيارة بعد 3 سنوات من الآن ومن المتوقع أن يبلغ ثمن السيارة في ذلك الوقت 180,000 جنيه. ما هو المبلغ الذي يجب عليك ايداعه الآن في حسابك الاستثماري، والذي يعطي لك دخلاً قدره 20 % سنويا حتى يمكنك شراء السيارة؟
يمكن حساب قيمة الوديعة (PV0) باستخدام المعادلة كما يلى:
القيمة الحالية لدفعات متساوية (Present Value Of An Annuity ) بإستخدام المعادلات:
يجب التفرقة بين نوعين من الدفعات النقدية علي حسب توقيت حدوثها.
أ .الدفعات المتساوية العادية (Ordinary Annuity):
الدفعات المتساوية العادية (المنتظمة) وهي دفعات نقدية التي تحدد عادة في نهاية كل فترة كما هو موضح بالشكل التالى
![]() |
| الدفعات المتساوية العادية |
مثال :
إذا ما كنت تتوقع الحصول علي 1000 دولار في نهاية كل السنة من السنوات ال 5 المقبلة، وإذا ما كان معدل الخصم السائد في الإقصاد يبلغ 5 %، ماهي القيمة الحالية لهذه التدفقات النقدية ؟
• الحل بإستخدام الخط الزمني:
مما لاشك فيه أن استخدام هذه الطريقة شديد التعقيد عند حساب القيمة الحالية للتدفقات النقدية المستقبلية، حيث يتم التعامل مع كل دفعة علي اساس انها دفعة مستقلة بذاتها مع عدم الأخذ في الإعتبار تساوي هذه الدفعات وبالتالي إمكانية تطبيق المعادلة علبها لحساب القيمة الحالية للخمس دفعات العادية، والتي تبلغ قيمة كل منها 1000 دولار، ويتم استثمارها بمعدل عائد يدفع سنويا، وهو ما سوف نقوم بتوضيحه في القسم التالي.
• حساب القيمة الحالية للدفعات العادية باستخدام المعادلات:
حل مثال ( ) بإستخدام الجداول:
PVOA = PMT * PVIFA5%,5 = 1,000 * 4.3295 = $4,329.5
ب – حساب القيمة الحالية في حالة الدفعات المتساوية المقدمة Annuity Due
لحساب القيمة الحالية للدفعات المتساوية المقدمة (Present Value of Annuity Due) يتم إستخدام نفس طريقة حساب القيمة الحالية في حالة الدفعات المتساوية العادية ، إلا أن الدفعات يتم خصمها لفترة زمنية أقل وعند نفس معدل العائد. ويعود ذلك إلي أن كل دفعة من الدفعات المتساوية في حالة الدفعات المقدمة يتم خصمها لفترة زمنية أقل عنها في حالة الدفعات العادية.
حل مثال ( ) بإستخدام الجداول:
PVOA = PMT * PVIFA5%,5 * (1+IR)
= 1,000 * 4.3295 * 1.05 = $4,545.28
القيمة الحالية لدفعات متساوية أبدية Present Value of a Perpetuity
في هذه الحالة ليس هناك نهاية للدفعات المتساوية التي يتم الحصول عليها وإنما تكون التدفقات النقدية لهذا الأستثمار لا نهائية كما في حالة توزيعات أرباح الأسهم العادية فإنه ليس لها نهاية حيث ان السهم العادي ليس له تاريخ استحقاق وإنما يظل متداول في السوق طالما أن الشركة المصدرة لا زالت متواجدة في السوق. وطالما أن الشركات المساهمة تعمل في ظل الفرض القائل بأنه ليس هناك عمر لهذه الشركات فإنه يفترض أن توزيعات أرباحها سوف يظل إلى الأبد. وفي ظل هذه الحالة فإنه يتم حساب القيمة الحالية لدفعات أبدية متساوية باستخدام المعادلة التالية
PMT
ــــــــــــ = PVPerpetuity
IR
مثال :
بفرض أن توزيعات الأرباح المتوقعة للسهم (س) تقدر ب 2 جنيه سنوياً ومعدل العائد المطلوب (معدل الخصم ) يقدر ب 8% وبالتالي فإن قيمة السهم (س) المتداول في السوق يجب أن لا تزيد عن 25 جنيه (%8÷2) وإلا يعتبر السهم مقيم بقيمة أكبر من قيمته الحقيقية.
تطبيقات خاصة للقيمة الزمنية
قيمة الدفعة الدورية للحصول على مبلغ محدد مستقبلاً:
بفرض أن إحدى الشركات ترغب في إحلال أحد اصولها في نهاية السنة الخامسة وبفرض أن القيمة المتوقعة للأصل الجديد في نهاية السنة الخامسة تقدر ب 100000 جنيه وبفرض أن معدل الفائدة السائد في السوق يقدر ب 16 .% ماهي الأقساط السنوية التي يجب على الشركة أن تقوم بتجنيبها خلال الخمس سنوات حتى يمكنها استبدال الأصل في نهاية السنة الخامسة ؟
الحل:
القسط السنوي = 14.540.94 جنيه.
إستهلاك القروض:
عادة ما يكون سداد القرض في شكل دفعات متساوية على مدار عمر القرض ، جزء من كل دفعة لخدمة الفائدة على أصل القرض في بداية المدة والجزء الأخر لخدمة أصل القرض (يستخدم لسداد جزء من القرض). وعلى ذلك فإننا نجد أن مدفوعات الفائدة تتناقص بمرور الوقت بينما خدمة القرض تزيد بمرور الوقت حتى يتم سداد أصل القرض بالكامل في نهاية عمره ، وعادة ما يتم ذلك في شكل جدول لاستهلاك القرض.
مثال:
بفرض أن احدى الشركات قد قامت بالحصول على قرض قيمته 6 مليون جنيه بمعدل فائدة 10 % وقد اتفقت الشركة مع البنك على سداد هذا القرض قي شكل دفعات متساوية يتم دفعها في نهاية كل سنة لمدة 4 سنوات. في هذه الحالة يتم إعداد جدول استهلاك القرض مروراً بالخطوات التالية:
الخطوة الأولى: حساب قيمة الدفعة السنوية (PMT)
الدفعة السنوي = 1.892.825 جنيه.
الخطوة الثانية: إعداد الجدول السنوي لإستهلاك القرض
ويلاحظ ان :
1 -مدفوعات الفائدة لكل مدة = أصل القرض في بداية المدة ×معدل الفائدة (%10)
2 -المدفوعات لأصل القرض = الدفعة السنوية – مدفوعات الفائدة عن المدة
3 -أصل القرض في نهاية المدة الحالية = أصل القرض في بداية المدة التالية = أصل القرض في بداية المدة – المدفوعات لأصل القرض.
|
نهاية السنة |
الدفعة السنوية |
أصل القرض في بداية المدة |
المدفوعات |
المتبقي من القرض |
|
|
الفائدة |
لأصل القرض |
||||
|
1 2 3 4 |
1,892,825 1,892,825 1,892,825 1,892,825 |
6,000,000 4,707,175 3,285,068 1,720,750 |
6,000,000 4,707,180 3,285,070 1,720,570 |
1,292,825 1,422,107 1,564,318 1,720,750 |
4,707,175 3,285,068 1,720,750 صفر |
فى النهاية اخر نقطة انت من ستضيفها فى التعليقات، شارك غيرك ولا تقرأ وترحل.
































